时间膨胀效应是什么意思
*** 次数:1999998 已用完,请联系开发者***
ˋ^ˊ 光速飞船上的一分钟:时间膨胀效应的奇妙之旅其中就包括时间膨胀效应。 当一个物体的运动速度无限接近光速时,其时间的流逝相对于静止的观察者而言会逐渐变慢。这就如同有两个完全一样的时钟,一个放置在地球上保持静止,另一个搭载在高速飞行的飞船上。 随着飞船速度逐步接近光速,地球上的人会看到飞船上的时钟走得愈发...

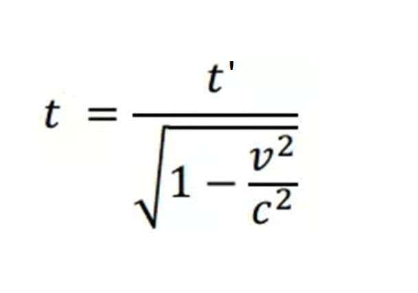
速度越快时间越慢,“时间膨胀效应”究竟该咋理解?在人类的日常经验中,时间像是一条稳定流淌的河流,无论何种情境,一天总是24小时。然而,这种直观的认识在相对论的冲击下显得不再可靠。相对论,特别是狭义相对论提出的时间膨胀效应,彻底颠覆了我们对时间的传统理解。 狭义相对论告诉我们,速度的增加会导致时间流逝变慢。这并...

狭义相对论时间膨胀:速度越快时间越慢,膨胀的究竟是啥?狭义相对论中的时间膨胀效应:速度越快时间越慢,膨胀的到底是什么? 相对论已经诞生一百多年了,但直到今天,仍旧有不少人对相对论不是很理... 以上两个时间膨胀公式可以看出,都与光速c有关,这也说明了时间膨胀与光速c息息相关,所以无论什么样的时间膨胀,首先要做的一点就是要确定...
![]()
黑洞附近的时间膨胀与“永生”的真相而是广义相对论所预言的“引力时间膨胀”效应:引力越强的地方,时间流逝得越慢。 黑洞,作为宇宙中引力最为强大的天体,其附近的时间流速要远远慢于地球。这难免会引发人们的遐想:要是长期待在黑洞附近,借助时间膨胀效应,人类是否就能实现“永生”,看着地球历经千年、万年乃至...
![]()
+0+ 时间膨胀效应在高精度实验中的验证结果,是否完全符合理论预测?咱今天唠唠时间膨胀效应,这可是爱因斯坦广义相对论里的重要概念。简单来说,就是引力场中不同高度的原子钟,走的速度不一样。引力越强,时间流逝越慢,就像时钟在海拔低的地方走得比高的地方慢,这就是时间膨胀效应,也叫引力红移。这么神奇的理论,科学家们肯定得想法子验证啊,那...
光速是极限吗?到光速时间会停?这时间膨胀效应挺神奇可没过多久,他们就尴尬地承认是设备接口松动导致的误差,中微子的速度还是没超过光速。近十年的研究更有意思,不同团队的结论简直像在打... 这些研究有什么用?其实 GPS 就是最好的例子 —— 要是不懂时间膨胀,我们现在连外卖都可能送错地方。而且这些看似抽象的理论,说不定未来...
(`▽′) ![]()
>0< 解读时间膨胀效应,如何理解“光速飞行时间静止”?时间膨胀效应,作为现代物理的一大奇观,彻底颠覆了我们对时间的传统认识。这一效应指出,在不同的惯性参考系中,时间的流逝并非恒定不变。这意味着,对于不同的观察者来说,时间的快慢可能会有所不同。 狭义相对论和广义相对论是时间膨胀理论的两大支柱。狭义相对论由爱因斯坦于...
![]()
ˇ△ˇ 一文读懂时间膨胀效应:速度、引力与光速飞行下的时间奥秘时间膨胀效应,作为现代物理的一大奇观,颠覆了我们对时间的传统认知。在不同惯性参考系中,时间流逝并非恒定不变,不同观察者眼中时间快慢有别。 狭义相对论与广义相对论是时间膨胀理论的两大支柱。1905 年爱因斯坦提出狭义相对论,揭示无引力或引力忽略时,时间随速度增加而变...

光速旅行的奇幻效应:时间膨胀、长度收缩与现实挑战当我们谈论光速旅行时,时间膨胀是一个不可避免的话题。爱因斯坦的相对论表明,时间并非绝对统一且恒定不变,而是会随物体运动速度变化。 具体而言,当物体接近光速运动,其经历的时间会比静止观察者变慢,这就是时间膨胀效应。例如,假设你驾驶光速飞船从地球出发,一分钟后返回(飞...
>△< 
深层解读相对论“时间膨胀效应”:宇宙万物的速度其实都是光速C!时间就越慢呢?其实,“时间膨胀效应”并不难理解,并不需要什么高深的知识,甚至只需要初中数学知识就能够快速理解。下面就简单分析一下为... 而时间恰恰就是用来描述状态变化快慢的物理量。还有很重要的一点:何为快慢?在我们日常生活中,快和慢(速度)必须有一个参照系,否则就无法...
(°ο°) ![]()
立马加速器部分文章、数据、图片来自互联网,一切版权均归源网站或源作者所有。
如果侵犯了你的权益请来信告知删除。邮箱:xxxxxxx@qq.com
上一篇:时间膨胀效应是什么意思
下一篇:时间膨胀效应是什么