时间膨胀效应是怎么引起的
*** 次数:1999998 已用完,请联系开发者***

>ω< 光速飞船上的一分钟:时间膨胀效应的奇妙之旅而是时间的本质在不同运动状态下发生了改变。 为了更直观地理解时间膨胀效应,我们不妨借助一个著名的思想实验——双生子佯谬。 假设有... 这便是时间膨胀效应在不同参考系中的具体呈现。 那么,当飞船速度达到光速时,时间膨胀效应又会呈现出怎样的状态呢? 根据狭义相对论的公...
![]()
速度越快时间越慢,“时间膨胀效应”究竟该咋理解?无论一个物体如何运动,它发出的光速始终是恒定的。这一原理深刻影响了我们对时间和空间的理解,它表明在高速运动或强引力场中,时间和空间会发生变形,以保持光速的不变性。因此,光速不仅是物理学中的一个常数,更是理解时间膨胀效应的关键。 时间膨胀效应的实验见证 时间膨胀...

●▂● 黑洞附近的时间膨胀与“永生”的真相其附近的时间流速要远远慢于地球。这难免会引发人们的遐想:要是长期待在黑洞附近,借助时间膨胀效应,人类是否就能实现“永生”,看着地球... 更不用说靠近黑洞了——在探讨“利用黑洞时间膨胀实现永生”之前,首先要解决的是“如何在黑洞附近存活”的问题,而以当前的科技水平,这...
⊙△⊙ ![]()
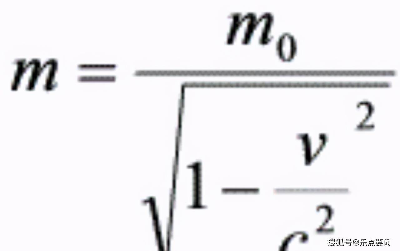
狭义相对论时间膨胀:速度越快时间越慢,膨胀的究竟是啥?狭义相对论中的时间膨胀效应:速度越快时间越慢,膨胀的到底是什么? 相对论已经诞生一百多年了,但直到今天,仍旧有不少人对相对论不是很理... 这意味着肯定会有某些东西发生了变化,来匹配光速不变,这些东西就是时间和空间。 也就是说,速度会影响时间流逝快慢,时间和空间都是相对的...
+△+ 光速不变引发时空奥秘:时间膨胀与尺缩效应如何影响宇宙观察不同观察者才会感受到时间和空间的改变,也就是时间膨胀效应,以及空间的尺缩效应,它们是等价的,且同时发生。 光速的限制和不变性极大地影响了我们对宇宙的观察。例如,用天文望远镜观察10光年外的星球,我们看到的是它10年前的景象。而如果你乘坐一艘接近光速的飞船,你看到的...
+▂+ ![]()
∩0∩ 解读时间膨胀效应,如何理解“光速飞行时间静止”?时间是如何随着速度的增加而变慢的。而广义相对论,则是爱因斯坦在1915年提出的,它进一步扩展了时间膨胀的概念,包括了重力对时间流逝的... 导致衰变发生的时间推迟。这一现象证实了狭义相对论中的速度时间膨胀效应。 全球定位系统(GPS)的卫星需要进行时间校准,以考虑它们因高...
╯▂╰ ![]()
时间膨胀效应在高精度实验中的验证结果,是否完全符合理论预测?他们对时间膨胀效应进行了有史以来最小尺度的测量。实验用了啥呢?一种叫光晶格钟的超精确时钟,这里面有大约 10 万个超冷锶原子,被装载在一个光学晶格中。这晶格就像一叠激光束产生的煎饼,又大又平又薄,是用比平常弱的光束形成的。为啥要这么设计呢?就是为了减少光和原子散...

光速是极限吗?到光速时间会停?这时间膨胀效应挺神奇导致时间读数始终有偏差。我们拿着水平仪一点点校准,整整熬了两个通宵,第 17 次调试时才终于得到稳定的数据。当看到屏幕上 μ 子的衰变时间比理论值延长了 6 倍,正好符合时间膨胀公式的预测时,团队里没人说话,都在盯着数据傻笑 —— 那种激动,比发现新大陆还过瘾?。但新的疑问...
≥^≤ ![]()
一文读懂时间膨胀效应:速度、引力与光速飞行下的时间奥秘时间膨胀效应,作为现代物理的一大奇观,颠覆了我们对时间的传统认知。在不同惯性参考系中,时间流逝并非恒定不变,不同观察者眼中时间快慢有别。 狭义相对论与广义相对论是时间膨胀理论的两大支柱。1905 年爱因斯坦提出狭义相对论,揭示无引力或引力忽略时,时间随速度增加而变...
˙△˙ ![]()
↓。υ。↓ 深层解读相对论“时间膨胀效应”:宇宙万物的速度其实都是光速C!“时间膨胀效应”并不难理解,并不需要什么高深的知识,甚至只需要初中数学知识就能够快速理解。下面就简单分析一下为何速度会影响时间的快慢。假设一辆汽车以速度V行驶,汽车里有一个人手里拿着手电筒垂直朝上,打开手电筒。由于光速不变原理,无论汽车如何运动,光的速度都是...
![]()
立马加速器部分文章、数据、图片来自互联网,一切版权均归源网站或源作者所有。
如果侵犯了你的权益请来信告知删除。邮箱:xxxxxxx@qq.com
上一篇:时间膨胀效应是怎么引起的
下一篇:时间膨胀效应是怎么回事